W tym zadaniu oblicz różnicę poziomów ciecz w pionowych rurkach połączonych poziomą rurką o długości l = 1 m, jeśli naczynie jest przesuwane ze stałym przyspieszeniem
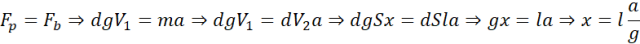
Siła parcia nadmiaru wody jest równoważona przez siłę bezwładności cieczy w poziomej części rurki:
Podstawiając wartości liczbowe:
Odpowiedź: Różnica poziomów cieczy będzie wynosiła 10,2 cm.
Różnica poziomów cieczy tworzy ciśnienie hydrostatyczne, które generuje siłę parcia. Siła ta musi być równoważona przez siłę bezwładności cieczy znajdującej się w poziomej części rurki.
Przykład Przykład 1.
11Przykład Przykład 2.
12Przykład Przykład 3.
13Zadanie 7.1.2
14Zadanie 7.1.3
14Zadanie 7.1.5
15Zadanie 7.1.8
15Zadanie 7.1.9
15Przykład Przykład 1.
16Zadanie 7.2.1.
18Zadanie 7.2.3.
19Zadanie 7.2.12.
21Zadanie 7.2.13.
21Zadanie 7.3.2.
26Zadanie 7.4.1.
30Zadanie 7.4.11.
31Przykład Przykład 1.
32Przykład Przykład 3.
34Przykład Przykład 5.
37Zadanie 7.5.4.
38Zadanie 7.5.10.
39Zadanie 7.5.14.
40Zadanie 7.5.16.
40Zadanie 7.5.20.
41Zadanie 7.5.26.
42Przykład Przykład 1.
43Zadanie 7.6.2.
46Zadanie 7.6.6.
47Przykład Przykład 2.
49Zadanie 7.7.2.
52Zadanie 7.7.3.
52Zadanie 7.7.4.
53Zadanie 7.7.6.
53Przykład Przykład 1.
55Zadanie 7.8.7.
58Przykład Przykład. Gejzer
64Zadanie Zadanie 1. Śluza
66Zadanie Zadanie 2. Balon
67Zadanie Zadanie 3. Butla z gazem
67Zadanie Zadanie 4. Wartość energetyczna pożywienia
68