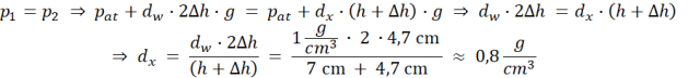
W tym zadaniu oblicz gęstość cieczy dolanej do rurki w kształcie litery U, jeśli początkowo w rurce znajdowała się jedynie woda i odległość od powierzchni wody do końca rurki wyniosła h = 7 cm, a po dolaniu wody odległość ta w prawym ramieniu zwiększyła się o
Ciśnienie na wysokości styku wody z cieczą w prawym ramieniu:
W lewym ramieniu:
W prawym ramieniu:
Warunek równowagi cieczy w naczyniach połączonych oznacza równość ciśnień:
Odpowiedź: Ciecz ma gęstość około
Obliczamy ciśnienie na tym samym poziomie w obu ramionach rurki i zauważamy, że zgodnie z warunkiem równowagi cieczy w naczyniach połączonych ciśnienia te są sobie równe. Jeśli poziom wody w prawym ramieniu obniżył się o
Przykład Przykład 1.
11Przykład Przykład 2.
12Przykład Przykład 3.
13Zadanie 7.1.2
14Zadanie 7.1.3
14Zadanie 7.1.5
15Zadanie 7.1.8
15Zadanie 7.1.9
15Przykład Przykład 1.
16Zadanie 7.2.1.
18Zadanie 7.2.3.
19Zadanie 7.2.12.
21Zadanie 7.2.13.
21Zadanie 7.3.2.
26Zadanie 7.4.1.
30Zadanie 7.4.11.
31Przykład Przykład 1.
32Przykład Przykład 3.
34Przykład Przykład 5.
37Zadanie 7.5.4.
38Zadanie 7.5.10.
39Zadanie 7.5.14.
40Zadanie 7.5.16.
40Zadanie 7.5.20.
41Zadanie 7.5.26.
42Przykład Przykład 1.
43Zadanie 7.6.2.
46Zadanie 7.6.6.
47Przykład Przykład 2.
49Zadanie 7.7.2.
52Zadanie 7.7.3.
52Zadanie 7.7.4.
53Zadanie 7.7.6.
53Przykład Przykład 1.
55Zadanie 7.8.7.
58Przykład Przykład. Gejzer
64Zadanie Zadanie 1. Śluza
66Zadanie Zadanie 2. Balon
67Zadanie Zadanie 3. Butla z gazem
67Zadanie Zadanie 4. Wartość energetyczna pożywienia
68