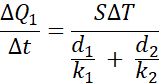
W tym zadaniu wykaż, że wzór:
jest poprawny, przy założeniu, że szybkość przepływu ciepła przez obie warstwy jest taka sama:
Wychodzimy z założenia, że przepływ ciepła przez każdą z warstw jest taki sam, czyli:
Korzystamy teraz ze wzoru na szybkość przepływu ciepła osobno dla każdej warstwy:
warstwa 1:
warstwa 2:
Mamy teraz dwa równania, w których tylko temperatura T3 (między warstwami) nie występuje w docelowym wzorze.
Zapiszmy więc oba wzory z
Dodajmy teraz stronami otrzymane zależności:
Korzystamy z założenia, że przepływ ciepła przez obie warstwy jest taki sam, zapisujemy
Odpowiedź: Otrzymaliśmy wzór podany w punkcie b) zadania, co należało wykazać.
Korzystamy ze wzoru na szybkość przewodzenia ciepła i założenia, że szybkość przepływu ciepła przez obie warstwy jest taka sama:
Przykład Przykład 1.
11Przykład Przykład 2.
12Przykład Przykład 3.
13Zadanie 7.1.2
14Zadanie 7.1.3
14Zadanie 7.1.5
15Zadanie 7.1.8
15Zadanie 7.1.9
15Przykład Przykład 1.
16Zadanie 7.2.1.
18Zadanie 7.2.3.
19Zadanie 7.2.12.
21Zadanie 7.2.13.
21Zadanie 7.3.2.
26Zadanie 7.4.1.
30Zadanie 7.4.11.
31Przykład Przykład 1.
32Przykład Przykład 3.
34Przykład Przykład 5.
37Zadanie 7.5.4.
38Zadanie 7.5.10.
39Zadanie 7.5.14.
40Zadanie 7.5.16.
40Zadanie 7.5.20.
41Zadanie 7.5.26.
42Przykład Przykład 1.
43Zadanie 7.6.2.
46Zadanie 7.6.6.
47Przykład Przykład 2.
49Zadanie 7.7.2.
52Zadanie 7.7.3.
52Zadanie 7.7.4.
53Zadanie 7.7.6.
53Przykład Przykład 1.
55Zadanie 7.8.7.
58Przykład Przykład. Gejzer
64Zadanie Zadanie 1. Śluza
66Zadanie Zadanie 2. Balon
67Zadanie Zadanie 3. Butla z gazem
67Zadanie Zadanie 4. Wartość energetyczna pożywienia
68