W tym zadaniu oblicz energię wewnętrzną helu w balonie, jeśli ma on temperaturę TC = 27oC, masa molowa helu wynosi
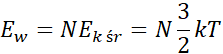
Energia wewnętrzna gazu jest średnią energią kinetyczną N jednoatomowych cząsteczek gazu:
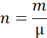
Liczba moli gazu w butli wyraża się zależnością:
Oraz liczbę moli możemy obliczyć ze wzoru:
Więc:
Wstawiamy otrzymaną zależność do wzoru na energię wewnętrzną:
Odpowiedź: Energia wewnętrzna helu znajdującego się w balonie wynosi około 1122 J.
Hel jest gazem jednoatomowym, więc korzystamy ze wzoru na średnią energię kinetyczną jednoatomowej cząsteczki gazu, który pomnożony razy liczbę cząstek daje energię wewnętrzną gazu. Liczbę moli gazu możemy obliczyć na dwa sposoby: jako iloraz liczby cząsteczek i liczby Avogadra lub jako iloraz masy gazu i jego masy molowej. Z równości tych wzorów obliczamy liczbę cząsteczek gazu. Przyjmujemy liczbę Avogadra
Przykład Przykład 1.
11Przykład Przykład 2.
12Przykład Przykład 3.
13Zadanie 7.1.2
14Zadanie 7.1.3
14Zadanie 7.1.5
15Zadanie 7.1.8
15Zadanie 7.1.9
15Przykład Przykład 1.
16Zadanie 7.2.1.
18Zadanie 7.2.3.
19Zadanie 7.2.12.
21Zadanie 7.2.13.
21Zadanie 7.3.2.
26Zadanie 7.4.1.
30Zadanie 7.4.11.
31Przykład Przykład 1.
32Przykład Przykład 3.
34Przykład Przykład 5.
37Zadanie 7.5.4.
38Zadanie 7.5.10.
39Zadanie 7.5.14.
40Zadanie 7.5.16.
40Zadanie 7.5.20.
41Zadanie 7.5.26.
42Przykład Przykład 1.
43Zadanie 7.6.2.
46Zadanie 7.6.6.
47Przykład Przykład 2.
49Zadanie 7.7.2.
52Zadanie 7.7.3.
52Zadanie 7.7.4.
53Zadanie 7.7.6.
53Przykład Przykład 1.
55Zadanie 7.8.7.
58Przykład Przykład. Gejzer
64Zadanie Zadanie 1. Śluza
66Zadanie Zadanie 2. Balon
67Zadanie Zadanie 3. Butla z gazem
67Zadanie Zadanie 4. Wartość energetyczna pożywienia
68