W tym zadaniu oblicz, o ile procent mniej ciepła będzie przenikać przez ścianę o grubości d1 = 24 cm i współczynniku przewodnictwa cieplnego
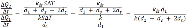
Początkowa szybkość przewodzenia ciepła:
Szybkość przewodzenia ciepła po dociepleniu:
Stosunek szybkości przewodzenia:
Podstawiamy wartości liczbowe:
Szybkość przewodzenie ciepła po dociepleniu stanowi 22% wartości początkowej, czyli przez ścianę przenika 78% mniej ciepła.
Odpowiedź: Po dociepleniu przez ścianę przenika 78% mniej ciepła.
Korzystamy ze wzoru na szybkość przewodzenia ciepła. Wyznaczamy iloraz szybkości, powierzchnia i różnica temperatur są takie same w obu przypadkach, więc możemy je skrócić.
Przykład Przykład 1.
11Przykład Przykład 2.
12Przykład Przykład 3.
13Zadanie 7.1.2
14Zadanie 7.1.3
14Zadanie 7.1.5
15Zadanie 7.1.8
15Zadanie 7.1.9
15Przykład Przykład 1.
16Zadanie 7.2.1.
18Zadanie 7.2.3.
19Zadanie 7.2.12.
21Zadanie 7.2.13.
21Zadanie 7.3.2.
26Zadanie 7.4.1.
30Zadanie 7.4.11.
31Przykład Przykład 1.
32Przykład Przykład 3.
34Przykład Przykład 5.
37Zadanie 7.5.4.
38Zadanie 7.5.10.
39Zadanie 7.5.14.
40Zadanie 7.5.16.
40Zadanie 7.5.20.
41Zadanie 7.5.26.
42Przykład Przykład 1.
43Zadanie 7.6.2.
46Zadanie 7.6.6.
47Przykład Przykład 2.
49Zadanie 7.7.2.
52Zadanie 7.7.3.
52Zadanie 7.7.4.
53Zadanie 7.7.6.
53Przykład Przykład 1.
55Zadanie 7.8.7.
58Przykład Przykład. Gejzer
64Zadanie Zadanie 1. Śluza
66Zadanie Zadanie 2. Balon
67Zadanie Zadanie 3. Butla z gazem
67Zadanie Zadanie 4. Wartość energetyczna pożywienia
68