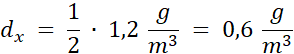
W tym zadaniu oblicz, jaka powinna być gęstość cieczy w naczyniu z większą kulą, jeśli dwie kule o takim samym ciężarze, ale o objętościach V i 2V zawieszono na wadze, a następnie zanurzono w wodzie tak, że kula o objętości V znajduje się w naczyniu z cieczą o gęstości
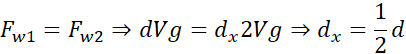
Kule pozostają w równowadze, więc działające na nie siły wypadkowe są sobie równe. Na każdą kulę działa siła ciężkości i siła wyporu wody. Siły ciężkości obu kul są równe, więc siły wyporu również muszą być równe:
Podstawiając wartości liczbowe:
Odpowiedź: Druga ciecz ma gęstość
Kule pozostają w równowadze, więc działające na nie siły wypadkowe są sobie równe. Na każdą kulę działa siła ciężkości i siła wyporu wody. Siły ciężkości obu kul są równe, więc siły wyporu również muszą być równe. Obie kule są w całości zanurzone w wodzie, więc objętości wypieranej przez nie wody to odpowiednio V i 2V.
Przykład Przykład 1.
11Przykład Przykład 2.
12Przykład Przykład 3.
13Zadanie 7.1.2
14Zadanie 7.1.3
14Zadanie 7.1.5
15Zadanie 7.1.8
15Zadanie 7.1.9
15Przykład Przykład 1.
16Zadanie 7.2.1.
18Zadanie 7.2.3.
19Zadanie 7.2.12.
21Zadanie 7.2.13.
21Zadanie 7.3.2.
26Zadanie 7.4.1.
30Zadanie 7.4.11.
31Przykład Przykład 1.
32Przykład Przykład 3.
34Przykład Przykład 5.
37Zadanie 7.5.4.
38Zadanie 7.5.10.
39Zadanie 7.5.14.
40Zadanie 7.5.16.
40Zadanie 7.5.20.
41Zadanie 7.5.26.
42Przykład Przykład 1.
43Zadanie 7.6.2.
46Zadanie 7.6.6.
47Przykład Przykład 2.
49Zadanie 7.7.2.
52Zadanie 7.7.3.
52Zadanie 7.7.4.
53Zadanie 7.7.6.
53Przykład Przykład 1.
55Zadanie 7.8.7.
58Przykład Przykład. Gejzer
64Zadanie Zadanie 1. Śluza
66Zadanie Zadanie 2. Balon
67Zadanie Zadanie 3. Butla z gazem
67Zadanie Zadanie 4. Wartość energetyczna pożywienia
68