W tym zadaniu oblicz siłę, potrzebną do podniesienia ruchem jednostajnym skrzyni o masie m = 45 kg, jeśli mały tłok prasy hydraulicznej ma powierzchnię
Gdy naciśniemy mniejszy tłok siłą
Z tej zależności obliczamy siłę, jaką działamy na mniejszy tłok:
Gdzie, jak wiemy z treści zadania, możemy podstawić
Wstawiamy dane do równania (1) i otrzymujemy:
Odpowiedź: Aby podnieść skrzynię ruchem jednostajnym, musimy użyć siły o wartości 45 N.
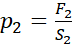
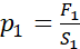
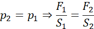
Korzystamy ze wzoru na ciśnienie oraz z prawa Pascala, z równości ciśnień w zbiorniku otrzymujemy zależność sił i powierzchni. Zauważamy, że siła potrzebna do podniesienia skrzyni jest równa sile ciężkości.
Przykład Przykład 1.
11Przykład Przykład 2.
12Przykład Przykład 3.
13Zadanie 7.1.2
14Zadanie 7.1.3
14Zadanie 7.1.5
15Zadanie 7.1.8
15Zadanie 7.1.9
15Przykład Przykład 1.
16Zadanie 7.2.1.
18Zadanie 7.2.3.
19Zadanie 7.2.12.
21Zadanie 7.2.13.
21Zadanie 7.3.2.
26Zadanie 7.4.1.
30Zadanie 7.4.11.
31Przykład Przykład 1.
32Przykład Przykład 3.
34Przykład Przykład 5.
37Zadanie 7.5.4.
38Zadanie 7.5.10.
39Zadanie 7.5.14.
40Zadanie 7.5.16.
40Zadanie 7.5.20.
41Zadanie 7.5.26.
42Przykład Przykład 1.
43Zadanie 7.6.2.
46Zadanie 7.6.6.
47Przykład Przykład 2.
49Zadanie 7.7.2.
52Zadanie 7.7.3.
52Zadanie 7.7.4.
53Zadanie 7.7.6.
53Przykład Przykład 1.
55Zadanie 7.8.7.
58Przykład Przykład. Gejzer
64Zadanie Zadanie 1. Śluza
66Zadanie Zadanie 2. Balon
67Zadanie Zadanie 3. Butla z gazem
67Zadanie Zadanie 4. Wartość energetyczna pożywienia
68