W tym zadaniu oblicz prędkość, z jaką wyrzucana jest woda z otworu gejzera, jeśli wznosi się na wysokość h = 30 m. Pomiń opory ruchu.
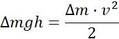
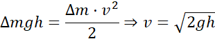
Załóżmy, że poziom odniesienia dla energii potencjalnej grawitacji jest na poziomie otworu gejzera. Wtedy woda wyrzucana z gejzera ma energię potencjalną równą zero. Cała energia kinetyczna, jaką ma woda w chwili wyrzutu, zostanie wykorzystana na wznoszenie, czyli energia potencjalna na maksymalnej wysokości jest równa energii kinetycznej na poziomie otworu gejzera. Możemy więc zapisać:
Stąd wyznaczamy szukaną prędkość wody, z jaką jest ona wyrzucana z gejzera:
Podstawiamy dane i otrzymujemy:
Odpowiedź: Woda z gejzera jest wyrzucana z prędkością ok.
Przyjmujemy poziom odniesienia dla energii potencjalnej grawitacji na poziomie otworu gejzera. Zgodnie z zasadą zachowania energii mechanicznej energia potencjalna w najwyższym punkcie jest równa energii kinetycznej na początki wyrzutu.
Przykład Przykład 1.
11Przykład Przykład 2.
12Przykład Przykład 3.
13Zadanie 7.1.2
14Zadanie 7.1.3
14Zadanie 7.1.5
15Zadanie 7.1.8
15Zadanie 7.1.9
15Przykład Przykład 1.
16Zadanie 7.2.1.
18Zadanie 7.2.3.
19Zadanie 7.2.12.
21Zadanie 7.2.13.
21Zadanie 7.3.2.
26Zadanie 7.4.1.
30Zadanie 7.4.11.
31Przykład Przykład 1.
32Przykład Przykład 3.
34Przykład Przykład 5.
37Zadanie 7.5.4.
38Zadanie 7.5.10.
39Zadanie 7.5.14.
40Zadanie 7.5.16.
40Zadanie 7.5.20.
41Zadanie 7.5.26.
42Przykład Przykład 1.
43Zadanie 7.6.2.
46Zadanie 7.6.6.
47Przykład Przykład 2.
49Zadanie 7.7.2.
52Zadanie 7.7.3.
52Zadanie 7.7.4.
53Zadanie 7.7.6.
53Przykład Przykład 1.
55Zadanie 7.8.7.
58Przykład Przykład. Gejzer
64Zadanie Zadanie 1. Śluza
66Zadanie Zadanie 2. Balon
67Zadanie Zadanie 3. Butla z gazem
67Zadanie Zadanie 4. Wartość energetyczna pożywienia
68