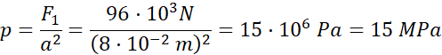
W tym zadaniu oblicz ciśnienie działające na sześcienne bloczki o boku a = 8 cm, umieszczone w prasie hydraulicznej, w której na mały działa siła
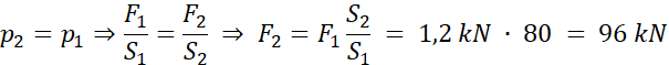
Ze wzoru na ciśnienie i prawa Pascala obliczamy siłę, jaka działa na duży tłok:
Ciśnienie działające na bloczek, którego powierzchnią jest kwadrat o boku a = 8 cm:
Wywierane ciśnienie jest większe niż wytrzymałość pustaków ceramicznych, betonu komórkowego oraz pustaków keramzytobetonowych.
Odpowiedź: Zgniecione zostaną pustaki ceramiczne, beton komórkowy oraz pustaki keramzytobetonowe.
Korzystamy ze wzoru na ciśnienie i prawa Pascala – ciśnienie jest takie samo w całej objętości cieczy.
Przykład Przykład 1.
11Przykład Przykład 2.
12Przykład Przykład 3.
13Zadanie 7.1.2
14Zadanie 7.1.3
14Zadanie 7.1.5
15Zadanie 7.1.8
15Zadanie 7.1.9
15Przykład Przykład 1.
16Zadanie 7.2.1.
18Zadanie 7.2.3.
19Zadanie 7.2.12.
21Zadanie 7.2.13.
21Zadanie 7.3.2.
26Zadanie 7.4.1.
30Zadanie 7.4.11.
31Przykład Przykład 1.
32Przykład Przykład 3.
34Przykład Przykład 5.
37Zadanie 7.5.4.
38Zadanie 7.5.10.
39Zadanie 7.5.14.
40Zadanie 7.5.16.
40Zadanie 7.5.20.
41Zadanie 7.5.26.
42Przykład Przykład 1.
43Zadanie 7.6.2.
46Zadanie 7.6.6.
47Przykład Przykład 2.
49Zadanie 7.7.2.
52Zadanie 7.7.3.
52Zadanie 7.7.4.
53Zadanie 7.7.6.
53Przykład Przykład 1.
55Zadanie 7.8.7.
58Przykład Przykład. Gejzer
64Zadanie Zadanie 1. Śluza
66Zadanie Zadanie 2. Balon
67Zadanie Zadanie 3. Butla z gazem
67Zadanie Zadanie 4. Wartość energetyczna pożywienia
68