W tym zadaniu oblicz średnią energię kinetyczną ruchu postępowego cząsteczki dwutlenku węgla, jeśli ma ona temperaturę TC = 28oC. Przyjmij wartość stałej Boltzmanna
Temperaturę TC = 28oC wyrażamy w skali Kelwina zgodnie z zależnością
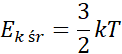
Średnią energię kinetyczną ruchu postępowego cząsteczki dwutlenku węgla obliczamy ze wzoru:
Odpowiedź: Średnia energia kinetyczna ruchu postępowego cząsteczki dwutlenku węgla w temperaturze TC = 28oC wynosi ok.
Przeliczamy temperaturę w stopniach Celsjusza na skalę Kelwina, a następnie korzystamy ze wzoru na średnią energię kinetyczną ruchu postępowego cząsteczek gazu.
Przykład Przykład 1.
11Przykład Przykład 2.
12Przykład Przykład 3.
13Zadanie 7.1.2
14Zadanie 7.1.3
14Zadanie 7.1.5
15Zadanie 7.1.8
15Zadanie 7.1.9
15Przykład Przykład 1.
16Zadanie 7.2.1.
18Zadanie 7.2.3.
19Zadanie 7.2.12.
21Zadanie 7.2.13.
21Zadanie 7.3.2.
26Zadanie 7.4.1.
30Zadanie 7.4.11.
31Przykład Przykład 1.
32Przykład Przykład 3.
34Przykład Przykład 5.
37Zadanie 7.5.4.
38Zadanie 7.5.10.
39Zadanie 7.5.14.
40Zadanie 7.5.16.
40Zadanie 7.5.20.
41Zadanie 7.5.26.
42Przykład Przykład 1.
43Zadanie 7.6.2.
46Zadanie 7.6.6.
47Przykład Przykład 2.
49Zadanie 7.7.2.
52Zadanie 7.7.3.
52Zadanie 7.7.4.
53Zadanie 7.7.6.
53Przykład Przykład 1.
55Zadanie 7.8.7.
58Przykład Przykład. Gejzer
64Zadanie Zadanie 1. Śluza
66Zadanie Zadanie 2. Balon
67Zadanie Zadanie 3. Butla z gazem
67Zadanie Zadanie 4. Wartość energetyczna pożywienia
68