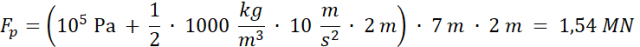
W tym zadaniu oblicz siłę parcia wody o wysokości h = 2 m na zamknięte wrota o szerokości a = 7 m. Zwróć uwagę na fakt, że ciśnienie jest różne na różnych głębokościach. Przyjmij ciśnienie atmosferyczne p0 = 105 Pa, gęstość wody
Średnie ciśnienie wody o wysokości h:
Siła parcia działająca na wrota:
Podstawiając wartości liczbowe:
Odpowiedź: Woda działa na wrota siłą o wartości około 1,54 MN.
Średnie ciśnienie wody o wysokości h jest równe średniej arytmetycznej ciśnienia na dnia i ciśnienia na powierzchni. Ciśnienie wody o pewnej wysokości to suma ciśnień atmosferycznego i hydrostatycznego.
Przykład Przykład 1.
11Przykład Przykład 2.
12Przykład Przykład 3.
13Zadanie 7.1.2
14Zadanie 7.1.3
14Zadanie 7.1.5
15Zadanie 7.1.8
15Zadanie 7.1.9
15Przykład Przykład 1.
16Zadanie 7.2.1.
18Zadanie 7.2.3.
19Zadanie 7.2.12.
21Zadanie 7.2.13.
21Zadanie 7.3.2.
26Zadanie 7.4.1.
30Zadanie 7.4.11.
31Przykład Przykład 1.
32Przykład Przykład 3.
34Przykład Przykład 5.
37Zadanie 7.5.4.
38Zadanie 7.5.10.
39Zadanie 7.5.14.
40Zadanie 7.5.16.
40Zadanie 7.5.20.
41Zadanie 7.5.26.
42Przykład Przykład 1.
43Zadanie 7.6.2.
46Zadanie 7.6.6.
47Przykład Przykład 2.
49Zadanie 7.7.2.
52Zadanie 7.7.3.
52Zadanie 7.7.4.
53Zadanie 7.7.6.
53Przykład Przykład 1.
55Zadanie 7.8.7.
58Przykład Przykład. Gejzer
64Zadanie Zadanie 1. Śluza
66Zadanie Zadanie 2. Balon
67Zadanie Zadanie 3. Butla z gazem
67Zadanie Zadanie 4. Wartość energetyczna pożywienia
68