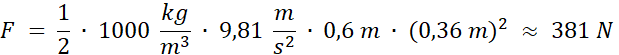
W tym zadaniu oblicz siłę, jaką woda działa na większą ściankę akwarium o długości a = 60 cm, szerokości b = 40 cm, jeśli jest ono wypełnione wodą do wysokości h = 36 cm. Gęstość wody to
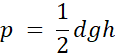
Średnie ciśnienie hydrostatyczne wody o wysokości h to:
Powierzchnia większej ściany, na którą działa ciśnienie wody ma długość a i wysokość h, więc siła parcia jest równa:
Podstawiając wartości liczbowe:
Odpowiedź: Woda działa na większą ściankę siła o wartości około 381 N.
Ciśnienie, jakie woda wywiera na ściankę, jest średnią arytmetyczną ciśnienia hydrostatycznego na powierzchni i na dnie akwarium. Siłę obliczamy korzystając z definicji ciśnienia.
Przykład Przykład 1.
11Przykład Przykład 2.
12Przykład Przykład 3.
13Zadanie 7.1.2
14Zadanie 7.1.3
14Zadanie 7.1.5
15Zadanie 7.1.8
15Zadanie 7.1.9
15Przykład Przykład 1.
16Zadanie 7.2.1.
18Zadanie 7.2.3.
19Zadanie 7.2.12.
21Zadanie 7.2.13.
21Zadanie 7.3.2.
26Zadanie 7.4.1.
30Zadanie 7.4.11.
31Przykład Przykład 1.
32Przykład Przykład 3.
34Przykład Przykład 5.
37Zadanie 7.5.4.
38Zadanie 7.5.10.
39Zadanie 7.5.14.
40Zadanie 7.5.16.
40Zadanie 7.5.20.
41Zadanie 7.5.26.
42Przykład Przykład 1.
43Zadanie 7.6.2.
46Zadanie 7.6.6.
47Przykład Przykład 2.
49Zadanie 7.7.2.
52Zadanie 7.7.3.
52Zadanie 7.7.4.
53Zadanie 7.7.6.
53Przykład Przykład 1.
55Zadanie 7.8.7.
58Przykład Przykład. Gejzer
64Zadanie Zadanie 1. Śluza
66Zadanie Zadanie 2. Balon
67Zadanie Zadanie 3. Butla z gazem
67Zadanie Zadanie 4. Wartość energetyczna pożywienia
68