W tym zadaniu oblicz prędkość kawałków lodu o temperaturze t1 = -10oC, jeśli w wyniku zderzenia wyparowały one. Przyjmij, że cała energia kinetyczna kawałków lodu zostaje zmieniona na energię wewnętrzną. Ciepło właściwe lodu
Energia kinetyczna kawałka lodu:
Ciepło pobrane przez lód na ogrzanie do temperatury topnienia:
Ciepło pobrane na topnienie lodu:
Ciepło pobrane przez stopiony na ogrzanie do temperatury parowania:
Ciepło pobrane na parowanie wody:
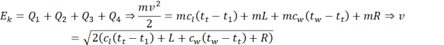
Cała energii kinetyczna zamienia się w ciepło:
Podstawiając wartości liczbowe:
Odpowiedź: Kawałki lodu powinny poruszać się z prędkością około
Wyznaczamy ciepło oddane i pobrane ze wzoru na ilość ciepła potrzebnego do zmiany temperatury ciała o
Przykład Przykład 1.
11Przykład Przykład 2.
12Przykład Przykład 3.
13Zadanie 7.1.2
14Zadanie 7.1.3
14Zadanie 7.1.5
15Zadanie 7.1.8
15Zadanie 7.1.9
15Przykład Przykład 1.
16Zadanie 7.2.1.
18Zadanie 7.2.3.
19Zadanie 7.2.12.
21Zadanie 7.2.13.
21Zadanie 7.3.2.
26Zadanie 7.4.1.
30Zadanie 7.4.11.
31Przykład Przykład 1.
32Przykład Przykład 3.
34Przykład Przykład 5.
37Zadanie 7.5.4.
38Zadanie 7.5.10.
39Zadanie 7.5.14.
40Zadanie 7.5.16.
40Zadanie 7.5.20.
41Zadanie 7.5.26.
42Przykład Przykład 1.
43Zadanie 7.6.2.
46Zadanie 7.6.6.
47Przykład Przykład 2.
49Zadanie 7.7.2.
52Zadanie 7.7.3.
52Zadanie 7.7.4.
53Zadanie 7.7.6.
53Przykład Przykład 1.
55Zadanie 7.8.7.
58Przykład Przykład. Gejzer
64Zadanie Zadanie 1. Śluza
66Zadanie Zadanie 2. Balon
67Zadanie Zadanie 3. Butla z gazem
67Zadanie Zadanie 4. Wartość energetyczna pożywienia
68