W tym zadaniu oblicz gęstość szkła, z którego zrobiona jest kulka, której ciężar w powietrzu wynosi
Siła wyporu jest różnicą ciężaru kulki przed i po zanurzeniu:
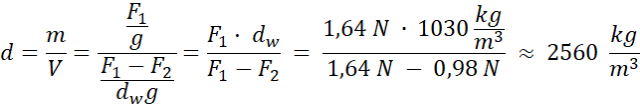
I z definicji:
Więc objętość kulki to:
Z definicji gęstości:
Odpowiedź: Gęstość szkła, z którego zrobiona jest kulka to około
Korzystamy ze wzoru na siłę wyporu i faktu, że utracony przez zanurzenie ciężar jest równy sile wyporu mleka. Przyrównujemy do siebie wzory i wyznaczamy objętość kulki. Korzystamy z definicji gęstość, a masę wyznaczamy z ciężaru kulki w powietrzu
Przykład Przykład 1.
11Przykład Przykład 2.
12Przykład Przykład 3.
13Zadanie 7.1.2
14Zadanie 7.1.3
14Zadanie 7.1.5
15Zadanie 7.1.8
15Zadanie 7.1.9
15Przykład Przykład 1.
16Zadanie 7.2.1.
18Zadanie 7.2.3.
19Zadanie 7.2.12.
21Zadanie 7.2.13.
21Zadanie 7.3.2.
26Zadanie 7.4.1.
30Zadanie 7.4.11.
31Przykład Przykład 1.
32Przykład Przykład 3.
34Przykład Przykład 5.
37Zadanie 7.5.4.
38Zadanie 7.5.10.
39Zadanie 7.5.14.
40Zadanie 7.5.16.
40Zadanie 7.5.20.
41Zadanie 7.5.26.
42Przykład Przykład 1.
43Zadanie 7.6.2.
46Zadanie 7.6.6.
47Przykład Przykład 2.
49Zadanie 7.7.2.
52Zadanie 7.7.3.
52Zadanie 7.7.4.
53Zadanie 7.7.6.
53Przykład Przykład 1.
55Zadanie 7.8.7.
58Przykład Przykład. Gejzer
64Zadanie Zadanie 1. Śluza
66Zadanie Zadanie 2. Balon
67Zadanie Zadanie 3. Butla z gazem
67Zadanie Zadanie 4. Wartość energetyczna pożywienia
68