Strzelec celował w środek tarczy, jednak pocisk trafił 1 centymetr poniżej środka. Znajdowała się ona w odległości 10 metrów od strzelca. Oblicz, jaka była prędkość pocisku w momencie opuszczenia lufy.
Rozwiązanie
d = 1 cm
l = 10 m
Wyjaśnienie
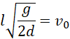
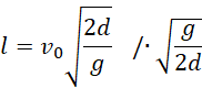
Wzór na prędkość początkową wyprowadzasz ze wzoru na zasięg w rzucie poziomym.