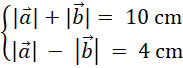
Napisz, jaką długość będzie miał wektor , jeśli wektory i są ułożone względem siebie pod kątem prostym i występują pomiędzy nimi zależności: , .
+
Szukany wektor:
Najpierw znajdź długości wektorów oraz , a następnie skorzystaj z twierdzenia Pitagorasa do znalezienia wektora .
Zadanie 3.1.1.
Zadanie 3.1.2.
Podpunkt a)
Podpunkt b)
Zadanie 3.1.3.
Zadanie 3.1.4.
Zadanie 3.1.5.
Zadanie 3.1.6.
Podpunkt c)
Zadanie 3.1.7.
Zadanie 3.1.8.
Zadanie 3.1.9.
Zadanie 3.1.10.
Zadanie 3.1.11.
Zadanie 3.1.12.
Zadanie 3.1.13.
Zadanie 3.1.14.
Zadanie 3.2.1.
Zadanie 3.2.2.
Zadanie 3.2.3.
Zadanie 3.2.4.
Zadanie 3.2.5.
Zadanie 3.2.6.
Zadanie 3.2.7.
Zadanie 3.2.8.
Zadanie 3.2.9.
Zadanie 3.2.10.
Zadanie 3.2.11.
Zadanie 3.2.12.
Zadanie 3.2.13.
Zadanie 3.2.14.
Zadanie 3.2.15.
Zadanie 3.2.16.
Zadanie 3.3.1.
Zadanie 3.3.2.
Zadanie 3.3.3.
Zadanie 3.3.4.
Zadanie 3.3.5.
Zadanie 3.3.6.
Zadanie 3.3.7.
Zadanie 3.3.8.
Zadanie 3.3.9.
Zadanie 3.3.10.
Zadanie 3.3.11.
Zadanie 3.3.12.
Zadanie 3.3.13.
Zadanie 3.3.14.
Zadanie 3.3.15.
Zadanie 3.3.16.
Zadanie 3.3.17.
Zadanie 3.3.18.
Zadanie 3.3.19.
Zadanie 3.3.20.
Zadanie 3.4.1.
Zadanie 3.4.2.
Zadanie 3.4.3.
Zadanie 3.4.4.
Zadanie 3.4.5.
Zadanie 3.4.6.
Zadanie 3.4.7.
Zadanie 3.4.8.
Zadanie 3.4.9.
Zadanie 3.4.10.
Zadanie 3.4.11.
Podpunkt : a)
Podpunkt : b)
Podpunkt : c)
Zadanie 3.4.12.
Zadanie 3.4.13.
Zadanie 3.4.14.
Zadanie 3.4.15.
Zadanie 3.4.16.
Zadanie 3.4.17.
Zadanie 3.4.18.
Zadanie 3.5.1.
Zadanie 3.5.2.
Zadanie 3.5.3.
Zadanie 3.5.4.
Zadanie 3.5.5.
Zadanie 3.5.6.
Zadanie 3.5.7.
Zadanie 3.5.8.
Zadanie 3.5.9.
Zadanie 3.5.10.
Zadanie 3.5.11.
Zadanie 3.5.12.
Zadanie 3.5.13.
Zadanie 3.1.
Zadanie 3.2.
Zadanie 3.3.
Zadanie 3.4.
Zadanie 3.5.
Zadanie 3.6.
Zadanie 3.7.
Zadanie 3.8.
Zadanie 3.9.
Zadanie 3.10.
Zadanie 3.11.
Zadanie 1. Lot samolotem
Podpunkt 1.1.
Podpunkt 1.2.
Podpunkt 1.3.
Podpunkt 1.4.
Zadanie 2. Tor żużlowy
Podpunkt 2.1.
Podpunkt 2.2.
Podpunkt 2.3.
Podpunkt 2.4.
Zadanie 3. Zawody balonowe
Podpunkt 4.1.
Podpunkt 4.2.
Podpunkt 4.3.
Podpunkt 4.4.