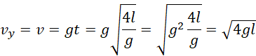
Zauważ, że puszczona kulka, przyczepiona do sznurka będzie poruszała się torem rzutu poziomego, w którym zasięg rzutu to długość dwukrotna długość pręta, do którego przymocowana jest kulka. Załóż, że na ruch ma wpływ tylko jedna składowa prędkości, która zależy od przyspieszenia ziemskiego.