Zadanie

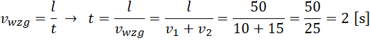
Dwie wieże mają taką samą wysokość 100 metrów i znajdują się w odległości 50 metrów od siebie. Wyrzucono z nich dwa przedmioty w tym samym czasie tak, jak pokazano to na rysunku. Pierwszy przedmiot został wyrzucony z prędkością początkową , a drugi przedmiot z prędkością początkową . Oblicz, po jakim czasie te przedmioty się zderzą.

Rozwiązanie

Wyjaśnienie

Zadania z tego działu
3. Ruch krzywoliniowy
68