l = 5 m
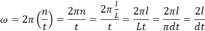
Prędkość kątowa:
Liczba zwojów liny:
Obwód bębna:
Wyznaczenie prędkości kątowej:
W tym zadaniu musisz zauważyć, że do wyznaczenia częstotliwości potrzebujesz wyznaczyć, ile razy lina nawinie się na bęben. Obliczasz to, dzieląc całkowitą długość liny przez obwód bębna.