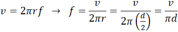
W tym zadaniu wyznacz, jaka jest częstotliwość obrotu kół samochodu, który porusza się z prędkością 72 , a jego koła mają średnicę 720 mm.
Przekształcasz wartości tak, aby były w jednostkach SI i wyprowadzasz wzór na częstotliwość z prędkości liniowej.
Zadanie 3.1.1.
Zadanie 3.1.2.
Podpunkt a)
Podpunkt b)
Zadanie 3.1.3.
Zadanie 3.1.4.
Zadanie 3.1.5.
Zadanie 3.1.6.
Podpunkt c)
Zadanie 3.1.7.
Zadanie 3.1.8.
Zadanie 3.1.9.
Zadanie 3.1.10.
Zadanie 3.1.11.
Zadanie 3.1.12.
Zadanie 3.1.13.
Zadanie 3.1.14.
Zadanie 3.2.1.
Zadanie 3.2.2.
Zadanie 3.2.3.
Zadanie 3.2.4.
Zadanie 3.2.5.
Zadanie 3.2.6.
Zadanie 3.2.7.
Zadanie 3.2.8.
Zadanie 3.2.9.
Zadanie 3.2.10.
Zadanie 3.2.11.
Zadanie 3.2.12.
Zadanie 3.2.13.
Zadanie 3.2.14.
Zadanie 3.2.15.
Zadanie 3.2.16.
Zadanie 3.3.1.
Zadanie 3.3.2.
Zadanie 3.3.3.
Zadanie 3.3.4.
Zadanie 3.3.5.
Zadanie 3.3.6.
Zadanie 3.3.7.
Zadanie 3.3.8.
Zadanie 3.3.9.
Zadanie 3.3.10.
Zadanie 3.3.11.
Zadanie 3.3.12.
Zadanie 3.3.13.
Zadanie 3.3.14.
Zadanie 3.3.15.
Zadanie 3.3.16.
Zadanie 3.3.17.
Zadanie 3.3.18.
Zadanie 3.3.19.
Zadanie 3.3.20.
Zadanie 3.4.1.
Zadanie 3.4.2.
Zadanie 3.4.3.
Zadanie 3.4.4.
Zadanie 3.4.5.
Zadanie 3.4.6.
Zadanie 3.4.7.
Zadanie 3.4.8.
Zadanie 3.4.9.
Zadanie 3.4.10.
Zadanie 3.4.11.
Podpunkt : a)
Podpunkt : b)
Podpunkt : c)
Zadanie 3.4.12.
Zadanie 3.4.13.
Zadanie 3.4.14.
Zadanie 3.4.15.
Zadanie 3.4.16.
Zadanie 3.4.17.
Zadanie 3.4.18.
Zadanie 3.5.1.
Zadanie 3.5.2.
Zadanie 3.5.3.
Zadanie 3.5.4.
Zadanie 3.5.5.
Zadanie 3.5.6.
Zadanie 3.5.7.
Zadanie 3.5.8.
Zadanie 3.5.9.
Zadanie 3.5.10.
Zadanie 3.5.11.
Zadanie 3.5.12.
Zadanie 3.5.13.
Zadanie 3.1.
Zadanie 3.2.
Zadanie 3.3.
Zadanie 3.4.
Zadanie 3.5.
Zadanie 3.6.
Zadanie 3.7.
Zadanie 3.8.
Zadanie 3.9.
Zadanie 3.10.
Zadanie 3.11.
Zadanie 1. Lot samolotem
Podpunkt 1.1.
Podpunkt 1.2.
Podpunkt 1.3.
Podpunkt 1.4.
Zadanie 2. Tor żużlowy
Podpunkt 2.1.
Podpunkt 2.2.
Podpunkt 2.3.
Podpunkt 2.4.
Zadanie 3. Zawody balonowe
Podpunkt 4.1.
Podpunkt 4.2.
Podpunkt 4.3.
Podpunkt 4.4.