s = 100 m
R = 200 m
v = 20
t₁ = 15 s
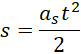
Przyspieszenie styczne:
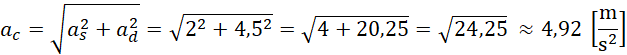
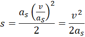
Przyspieszenie dośrodkowe:
Przyspieszenie całkowite:
Wektory przyspieszenia stycznego i dośrodkowego są do siebie prostopadłe, a ich wypadkowa to przyspieszenie całkowite:
Przyspieszenie całkowite możesz wyznaczyć zatem z twierdzenia Pitagorasa.