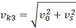
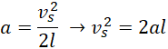
Masz narysowany tor żużlowy i podane jego parametry. Wiadomo też, że zakręt można wykonać z prędkością poniżej 57,6 . Żużlowiec pokonał drugi zakręt i uzyskuje prędkość Na trzecim odcinku trasy jedzie z przyspieszeniem 3 . Policz, z jaką prędkością zawodnik wejdzie w trzeci zakręt i napisać, czy jest to bezpieczna prędkość. Wynik podaj w .
Rozwiązanie
s = 325 m
= 62 m
R = 31 m
d = 1 m
Odp. Prędkość ta nie jest bezpieczna.
Wyjaśnienie
Prędkość motocyklisty nie jest bezpieczna, ponieważ jest większa od prędkości , z którą można bezpiecznie pokonać zakręt.