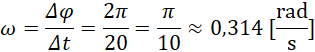
Wyznacz prędkość kątową pojazdu, który wykonuje pełne okrążenie w czasie 20 sekund.
= 20 s
Weź pod uwagę, że pełne okrążenie to 360º, czyli .
Zadanie 3.1.1.
Zadanie 3.1.2.
Podpunkt a)
Podpunkt b)
Zadanie 3.1.3.
Zadanie 3.1.4.
Zadanie 3.1.5.
Zadanie 3.1.6.
Podpunkt c)
Zadanie 3.1.7.
Zadanie 3.1.8.
Zadanie 3.1.9.
Zadanie 3.1.10.
Zadanie 3.1.11.
Zadanie 3.1.12.
Zadanie 3.1.13.
Zadanie 3.1.14.
Zadanie 3.2.1.
Zadanie 3.2.2.
Zadanie 3.2.3.
Zadanie 3.2.4.
Zadanie 3.2.5.
Zadanie 3.2.6.
Zadanie 3.2.7.
Zadanie 3.2.8.
Zadanie 3.2.9.
Zadanie 3.2.10.
Zadanie 3.2.11.
Zadanie 3.2.12.
Zadanie 3.2.13.
Zadanie 3.2.14.
Zadanie 3.2.15.
Zadanie 3.2.16.
Zadanie 3.3.1.
Zadanie 3.3.2.
Zadanie 3.3.3.
Zadanie 3.3.4.
Zadanie 3.3.5.
Zadanie 3.3.6.
Zadanie 3.3.7.
Zadanie 3.3.8.
Zadanie 3.3.9.
Zadanie 3.3.10.
Zadanie 3.3.11.
Zadanie 3.3.12.
Zadanie 3.3.13.
Zadanie 3.3.14.
Zadanie 3.3.15.
Zadanie 3.3.16.
Zadanie 3.3.17.
Zadanie 3.3.18.
Zadanie 3.3.19.
Zadanie 3.3.20.
Zadanie 3.4.1.
Zadanie 3.4.2.
Zadanie 3.4.3.
Zadanie 3.4.4.
Zadanie 3.4.5.
Zadanie 3.4.6.
Zadanie 3.4.7.
Zadanie 3.4.8.
Zadanie 3.4.9.
Zadanie 3.4.10.
Zadanie 3.4.11.
Podpunkt : a)
Podpunkt : b)
Podpunkt : c)
Zadanie 3.4.12.
Zadanie 3.4.13.
Zadanie 3.4.14.
Zadanie 3.4.15.
Zadanie 3.4.16.
Zadanie 3.4.17.
Zadanie 3.4.18.
Zadanie 3.5.1.
Zadanie 3.5.2.
Zadanie 3.5.3.
Zadanie 3.5.4.
Zadanie 3.5.5.
Zadanie 3.5.6.
Zadanie 3.5.7.
Zadanie 3.5.8.
Zadanie 3.5.9.
Zadanie 3.5.10.
Zadanie 3.5.11.
Zadanie 3.5.12.
Zadanie 3.5.13.
Zadanie 3.1.
Zadanie 3.2.
Zadanie 3.3.
Zadanie 3.4.
Zadanie 3.5.
Zadanie 3.6.
Zadanie 3.7.
Zadanie 3.8.
Zadanie 3.9.
Zadanie 3.10.
Zadanie 3.11.
Zadanie 1. Lot samolotem
Podpunkt 1.1.
Podpunkt 1.2.
Podpunkt 1.3.
Podpunkt 1.4.
Zadanie 2. Tor żużlowy
Podpunkt 2.1.
Podpunkt 2.2.
Podpunkt 2.3.
Podpunkt 2.4.
Zadanie 3. Zawody balonowe
Podpunkt 4.1.
Podpunkt 4.2.
Podpunkt 4.3.
Podpunkt 4.4.