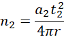
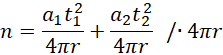
n = 200
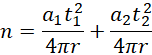
Liczba obrotów:
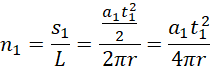
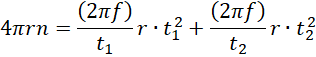
Przyspieszenie kątowe a przyspieszenie liniowe:
Połączenie z poprzednim wzorem na liczbę obrotów:
Całkowita liczba obrotów to suma liczba obrotów wykonana w pierwszym etapie oraz w drugim etapie. Będzie to droga pokonana przez punkt na obwodzie podzielona przez obwód wirnika. Następnie zapisujesz sobie zależność pomiędzy przyspieszeniem kątowym a liniowym i rozpisujesz ją aż do uzyskania częstotliwości. Następnie wyznaczone przyspieszenia liniowe podkładasz to wzoru na liczbę obrotów. Doprowadzasz wyrażenie do takiej postaci, która pozwoli wyliczyć ci częstotliwość.