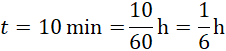
Podczas startu samolot rusza z prędkością 290i jest nachylony do poziomu pod kątem 10 stopni. Wyznacz prędkość wznoszenia się samolotu, a także obliczyć, w jakiej odległości od lotniska będzie znajdował się ten samolot po 10 minutach i na jakiej będzie wysokości.
Rozwiązanie
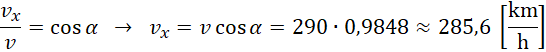
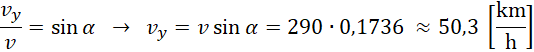
= 290
= 10°
Odp. Prędkość wznoszenia samolotu wynosi . Po 10 minutach oddalił się od lotniska o 47,6 km i znajdował się na wysokości 8,38 km.
Wyjaśnienie
Prędkość wznoszenia samolotu to pionowa składowa prędkości. Zależności między wielkościami przedstawiono na poglądowym rysunku.