Zadanie

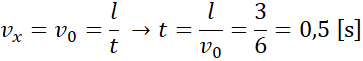
Chłopczyk rzucił kulką poziomo w stronę ściany 1,8 m nad ziemią. Jej prędkość początkowa wynosiła 6 , a ściana znajdowała się 3 metry od chłopaka. Załóż, że przyspieszenie ziemskie wynosi 10 . Wyznacz, jaki jest czas lotu kulki od wyrzucenia do uderzenia w ścianę, a także jej prędkość w momencie, kiedy się z nią zderzyła.

Rozwiązanie

Wyjaśnienie

Zadania z tego działu
3. Ruch krzywoliniowy
68