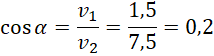
Policz, pod jakim kątem należy skierować dziób promu, aby płynął on w kierunku wyznaczonym przez linię, wiedząc, że prędkość wody w rzece to 1,5 , a prędkość promu względem wody to 27 .
Rozwiązanie
Odp. Należy płynąć pod kątem około względem brzegu.
Wyjaśnienie
Narysuj sobie opisaną sytuację i oblicz, jaki jest kąt pomiędzy dwoma prędkościami podanymi w zadaniu.