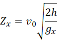
Zadanie

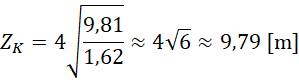
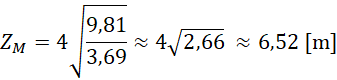
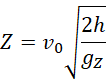
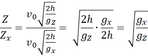
Porównaj zasięg lotu kamienia na Księżycu i na Marsie względem zasięgu lotu na Ziemi, gdzie po wyrzuceniu kamienia z pewną prędkością uzyskał zasięg 4 metrów. W zadaniu podano wartości przyspieszeń, z których masz skorzystać: = 9,81 1,62 , = 3,69 .

Rozwiązanie

Wyjaśnienie

Zadania z tego działu
3. Ruch krzywoliniowy
68