Droga, jaką pokona droga:
Okres obiegu Ziemi:
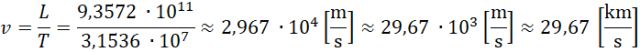
Prędkość Ziemi względem Słońca:
Odp. Ziemia porusza się względem Słońca z prędkością około
Aby wyznaczyć prędkość Ziemi względem Słońca, musisz obliczyć, jaką drogę pokonuje w czasie jednego obiegu i podzielić tę wartość przez czas trwania tego obiegu.