Zadanie

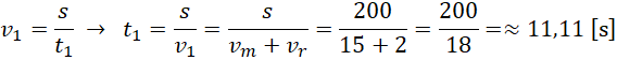
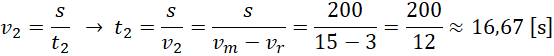
Na rysunku masz przedstawione bazy łodzi motorowych oraz łodzie na rzece. Podczas treningu załoga ma dopłynąć do koła ratunkowego i wrócić na pokład. Do wody wrzucono dwa koła ratunkowe i w tym samym czasie łodzie ruszyły z prędkością 15 względem wody, w której prędkość nurtu to 3 . Sprawdź, jak zmieni się wynik zawodów, jeśli koła ratunkowe zostaną przywiązane do łodzi w bazie zero.

Rozwiązanie

Wyjaśnienie

Zadania z tego działu
3. Ruch krzywoliniowy
68