Zadanie

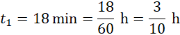
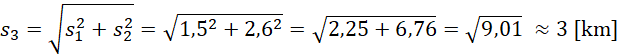
Spójrz na rysunek. Uczeń wyszedł z domu do szkoły i po 4 godzinach wrócił do domu, ale postanowił pójść inną trasą. Pierwszy 1,5 km odcinek przebył w 18 minut, a drugi 2,6 kilometrowy w czasie 42 minut. Do domu wracał znów przez 45 minut. Twoim zadaniem jest wyznaczyć wektor prędkości średniej i średnią wartość prędkości ucznia na całej trasie. Wyniki podaj w .

Rozwiązanie

Wyjaśnienie

Zadania z tego działu
3. Ruch krzywoliniowy
68