Oblicz, z jaką prędkością poruszał się rowerzysta, jeśli jego przednie koła zębate poruszały się z częstotliwością 3 obrotów na sekundę. Promień tego koła to 0,33 metry, tylna tarcza ma 22 zęby a przednia 32 zęby.
Rozwiązanie
z₁ = 32
z₂ = 22
obroty na sekundę
Wyjaśnienie
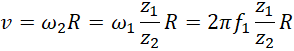
Prędkości kołowe muszą spełniać zależność , ponieważ jest to prędkość liniowa, która dla każdego koła musi być taka sama.