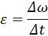
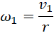
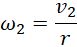
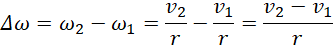
Wyznacz opóźnienie kątowe kół roweru o średnicy 700 milimetrów, jeśli prędkość rowerzysty w ciągu 15 sekund zmalała 42,4 do 28,0 .
= 15 s
Musisz obliczyć zmianę prędkości kątowej. Skorzystaj z zależności: .
Zadanie 3.1.1.
Zadanie 3.1.2.
Podpunkt a)
Podpunkt b)
Zadanie 3.1.3.
Zadanie 3.1.4.
Zadanie 3.1.5.
Zadanie 3.1.6.
Podpunkt c)
Zadanie 3.1.7.
Zadanie 3.1.8.
Zadanie 3.1.9.
Zadanie 3.1.10.
Zadanie 3.1.11.
Zadanie 3.1.12.
Zadanie 3.1.13.
Zadanie 3.1.14.
Zadanie 3.2.1.
Zadanie 3.2.2.
Zadanie 3.2.3.
Zadanie 3.2.4.
Zadanie 3.2.5.
Zadanie 3.2.6.
Zadanie 3.2.7.
Zadanie 3.2.8.
Zadanie 3.2.9.
Zadanie 3.2.10.
Zadanie 3.2.11.
Zadanie 3.2.12.
Zadanie 3.2.13.
Zadanie 3.2.14.
Zadanie 3.2.15.
Zadanie 3.2.16.
Zadanie 3.3.1.
Zadanie 3.3.2.
Zadanie 3.3.3.
Zadanie 3.3.4.
Zadanie 3.3.5.
Zadanie 3.3.6.
Zadanie 3.3.7.
Zadanie 3.3.8.
Zadanie 3.3.9.
Zadanie 3.3.10.
Zadanie 3.3.11.
Zadanie 3.3.12.
Zadanie 3.3.13.
Zadanie 3.3.14.
Zadanie 3.3.15.
Zadanie 3.3.16.
Zadanie 3.3.17.
Zadanie 3.3.18.
Zadanie 3.3.19.
Zadanie 3.3.20.
Zadanie 3.4.1.
Zadanie 3.4.2.
Zadanie 3.4.3.
Zadanie 3.4.4.
Zadanie 3.4.5.
Zadanie 3.4.6.
Zadanie 3.4.7.
Zadanie 3.4.8.
Zadanie 3.4.9.
Zadanie 3.4.10.
Zadanie 3.4.11.
Podpunkt : a)
Podpunkt : b)
Podpunkt : c)
Zadanie 3.4.12.
Zadanie 3.4.13.
Zadanie 3.4.14.
Zadanie 3.4.15.
Zadanie 3.4.16.
Zadanie 3.4.17.
Zadanie 3.4.18.
Zadanie 3.5.1.
Zadanie 3.5.2.
Zadanie 3.5.3.
Zadanie 3.5.4.
Zadanie 3.5.5.
Zadanie 3.5.6.
Zadanie 3.5.7.
Zadanie 3.5.8.
Zadanie 3.5.9.
Zadanie 3.5.10.
Zadanie 3.5.11.
Zadanie 3.5.12.
Zadanie 3.5.13.
Zadanie 3.1.
Zadanie 3.2.
Zadanie 3.3.
Zadanie 3.4.
Zadanie 3.5.
Zadanie 3.6.
Zadanie 3.7.
Zadanie 3.8.
Zadanie 3.9.
Zadanie 3.10.
Zadanie 3.11.
Zadanie 1. Lot samolotem
Podpunkt 1.1.
Podpunkt 1.2.
Podpunkt 1.3.
Podpunkt 1.4.
Zadanie 2. Tor żużlowy
Podpunkt 2.1.
Podpunkt 2.2.
Podpunkt 2.3.
Podpunkt 2.4.
Zadanie 3. Zawody balonowe
Podpunkt 4.1.
Podpunkt 4.2.
Podpunkt 4.3.
Podpunkt 4.4.