R = 0,8 m
t = 5 s
Okres – czas obrotu 360º:
Czas obrotu 5 s:
Odp. Kulka zatoczy kąt około 231º.
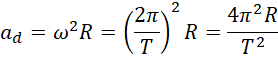
Wyznaczasz sobie ze wzorów na przyspieszenie dośrodkowe okres, czyli czas potrzebny do wykonania jednego pełnego obrotu, czyli 360º. Następnie z proporcji wyznaczasz, jaki kąt pokona kulka w czasie 5 sekund.