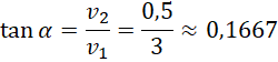
Rzeka ma szerokość 36 metrów i woda płynie w niej z prędkością 3 . Antylopa przeprawia się na drugi brzeg z prędkością 0,5 prostopadle względem brzegu. Ustal, w jakim kierunku względem brzegu płynie antylopa oraz obliczyć jej prędkość względem brzegu.
Rozwiązanie
d = 36 m
Wyjaśnienie
Antylopa w rzeczywistości nie porusza się prostopadle do brzegu, ponieważ jest ściągana przez nurt wody w rzece.