Przyspieszenie dośrodkowe na początku:
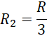
Przyspieszenie dośrodkowe po zmianie długości:
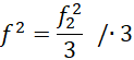
Przyspieszenia mają być jednakowe:
Odp. Częstotliwość musi wzrosnąć
Wyznaczasz sobie wzór na przyspieszenie dośrodkowe. Następnie sprawdzasz, co zmieni się, kiedy zmieni się długość sznurka. Wiadomo, że przyspieszenia mają być jednakowe, zatem przyrównujesz do siebie oba przyspieszania. Dzięki temu ustalisz, jaka musi być zależność pomiędzy częstotliwościami.