Zadanie

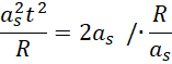
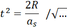
Rowerzystka zakręciła kołem o promieniu 25 centymetrów tak, że przyspieszenie styczne koła wynosiło 0,25 . Oblicz, po jakim czasie przyspieszenie dośrodkowe będzie dwukrotnie większe od przyspieszenia stycznego.

Rozwiązanie

Wyjaśnienie

Zadania z tego działu
3. Ruch krzywoliniowy
68