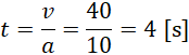
Oblicz, po jakim czasie prędkość pozioma i pionowa pocisku, który został wystrzelony z wieży, będą takie same. Pocisk ten ma współrzędne opisane równaniami i .
Rozwiązanie
Wyjaśnienie
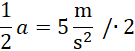
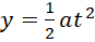
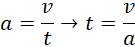
Pierwsze równanie to równanie typu: , a drugie: . Wyciągasz z nich dane na temat wartości prędkości oraz przyspieszenia.