Samolot oderwie się od ziemi po 167,3 m, jest to minimalna długość jaką musiałby mieć pas startowy.
Oblicz jakie przyspieszenie ma samolot korzystając z drugiej zasady dynamiki:
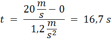
Oblicz po jakim czasie samolot osiągnie prędkość po jakiej oderwie się od ziemi (pamiętaj o ujednoliceniu jednostek):
Przelicz prędkość początkową wagonu na
Oblicz drogę jaką przebędzie samolot zanim się oderwie od ziemi: