D. 2,5 N, skierowana w przeciwną stronę niż poruszało się ciało.
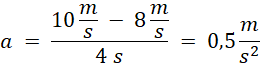
Znając czas działania siły i zmianę prędkości możesz obliczyć wartość przyspieszenia hamującego:
Oblicz siłę jaka działała na ciało:
Ponieważ ciało hamuje, to ta siła będzie skierowana w kierunku przeciwnym, do kierunku ruchu.