Oblicz siłę ciężkości działającą na astronautę w skafandrze na Marsie.
D. 500 N.
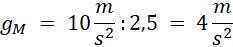
Na Ziemi wartość przyspieszenia ziemskiego wynosi , na Marsie ta wartość jest 2,5 razy mniejsza, czyli wyniesie: .
W takim przypadku siła ciężkości działająca na ciało na Marsie wyniesie:
Ćwiczenie Doświadczenie
Zadanie 1
Podpunkt a)
Podpunkt b)
Zadanie 2
Zadanie 3
Podpunkt c)
Zadanie 4
Podpunkt d)
Zadanie 5
Ćwiczenie Ćwiczenie A.
Ćwiczenie Ćwiczenie B.
Ćwiczenie Ćwiczenie C.
Zadanie 6
Ćwiczenie Doświadczenie: Waga
Ćwiczenie Doświadczenie 2
Ćwiczenie Doświadczenie: Sznurek z kulkami
Ćwiczenie Doświadczenie: Odrzutowiec za złotówkę
Ćwiczenie Doświadczenie: Samochodzik i książka
Ćwiczenie Ćwiczenie
Ćwiczenie Doświadczenie: Taśma i ołówek
Ćwiczenie Doświadczenie: Sklejone bez kleju
Ćwiczenie Doświadczenie: Bezwładność monety
Ćwiczenie Test 1. – To musisz umieć
Podpunkt 1.
Podpunkt 2.
Podpunkt 3.
Podpunkt 4.
Podpunkt 5.
Podpunkt 6.
Podpunkt 7.
Ćwiczenie Test 2 – Dobrze, jeśli to umiesz
Ćwiczenie Test 3. – To warto umieć
Ćwiczenie Test 4. – Świetnie, jeśli to umiesz