Oblicz drogę jaką pokona wagon, gdy zacznie na niego działać siła.
C. 25 m.
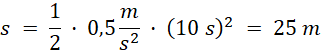
Droga w ruch jednostajnie przyspieszonym opisana jest wzorem: .
Z drugiej zasady dynamiki możesz obliczyć przyspieszenie jakie uzyskał wagon:
Droga jaką przebędzie wagon w ciągu pierwszych 10 s ruchu wynosi:
Ćwiczenie Doświadczenie
Zadanie 1
Podpunkt a)
Podpunkt b)
Zadanie 2
Zadanie 3
Podpunkt c)
Zadanie 4
Podpunkt d)
Zadanie 5
Ćwiczenie Ćwiczenie A.
Ćwiczenie Ćwiczenie B.
Ćwiczenie Ćwiczenie C.
Zadanie 6
Ćwiczenie Doświadczenie: Waga
Ćwiczenie Doświadczenie 2
Ćwiczenie Doświadczenie: Sznurek z kulkami
Ćwiczenie Doświadczenie: Odrzutowiec za złotówkę
Ćwiczenie Doświadczenie: Samochodzik i książka
Ćwiczenie Ćwiczenie
Ćwiczenie Doświadczenie: Taśma i ołówek
Ćwiczenie Doświadczenie: Sklejone bez kleju
Ćwiczenie Doświadczenie: Bezwładność monety
Ćwiczenie Test 1. – To musisz umieć
Podpunkt 1.
Podpunkt 2.
Podpunkt 3.
Podpunkt 4.
Podpunkt 5.
Podpunkt 6.
Podpunkt 7.
Ćwiczenie Test 2 – Dobrze, jeśli to umiesz
Ćwiczenie Test 3. – To warto umieć
Ćwiczenie Test 4. – Świetnie, jeśli to umiesz