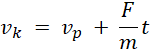
Po podstawieniu wartości przyrostu prędkości, czyli iloczynu przyspieszenia i czasu.
Przyspieszenie można zapisać korzystając z drugiej zasady dynamiki, wtedy wzór na prędkość końcową ciała, na które zadziałała pewna siła będzie miał postać:
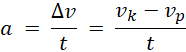
Z definicji przyspieszenia wiesz, że:
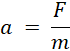
Natomiast z drugiej zasady dynamiki:
Z Pierwszego równania możesz wyznaczyć zależność opisującą prędkość końcową ciała:
Następnie podstaw pod przyspieszenie wyrażenie wynikające z drugiej zasady dynamiki: