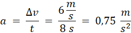
Dla ciała różowego:
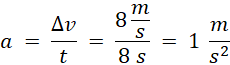
Dla ciała niebieskiego:
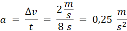
Dla ciała zielonego:
Na ciało różowe działała siła o wartości 5 N, na niebieskie – 6 N, a na zielone – 2,5 N.
Wartość przyspieszenia każdego z ciał policz jako przyrost prędkości w czasie ruchu (8 s). Następnie znając ich masę i przyspieszenie możesz policzyć wartość działającej na ciało siły: