Aby ciało uzyskało przyspieszenie 10 łokci na ziewnięcie kwadrat musi na nie zadziałać siła.
Siła F wprawi w ruch z przyspieszeniem a ciało o masie m równej
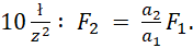
W obu przypadkach masa ciała będzie taka sama możesz więc zapisać równość:
Z powyższej proporcji możesz wyznaczyć wartość siły, która nada przyspieszenie
Będzie to 5 razy większa siła.