I. sposób:
II. sposób:
Ciało przyspieszy w czasie 40 s
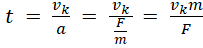
Z definicji przyspieszenia wiesz dla opisanej sytuacji wynika, że:
W podpunkcie a) obliczyłeś wartość przyspieszenia korzystając z drugiej zasady dynamiki. Przekształcając dalej możesz wyznaczyć czas po jakim ciało osiągnie prędkość vk:
Możesz też zapisać całość w jednym równaniu, łącząc definicję przyspieszenia z drugą zasadą dynamiki: