Na samochód działa siła 2500 N.
Przelicz szybkość samochodu po rozpędzeniu na
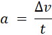
Oblicz przyspieszenie ciała z definicji przyspieszenia:
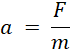
Z drugiej zasady dynamiki wiesz, że wartość przyspieszenia, jakie ma ciało jest ilorazem działającej siły przez masę ciała. Przekształć tę zależność, aby wyznaczyć wartość siły działającej na samochód.
Możesz również dokonać najpierw odpowiednich przekształceń algebraicznych i podstawić dane, dopiero do końcowego wzoru:
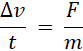
Zapisz wzory na przyspieszenie wynikające z definicji przyspieszenia i drugiej zasady dynamiki:
Przyrównaj je do siebie:
Wyznacz zależność na działającą siłę: