Skul.pl
  • Opracowania zadań z podręczników
  • Świat fizyki. Klasa 7. Zbiór zadań - rozwiązania i odpowiedzi
  • Zadanie 5.52.

Świat fizyki. Klasa 7. Zbiór zadań - rozwiązania i odpowiedzi

Zbiór zadań, Wydawnictwo: WSiP
Poprzednie

Zadanie 5.52. - strona 42

Następne

Zadanie

Oblicz wartość siły wywołującej ruch kulki.

Rozwiązanie

Na kulkę działa siła 2,5 N.

Skul

Wyjaśnienie

Prędkość kulki rośnie liniowo, czyli kulka porusza się ruchem jednostajnie przyspieszonym.

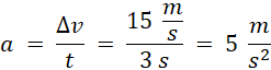
Oblicz przyspieszenie kulki z definicji przyspieszenia.

Z drugiej zasady dynamiki wiesz, że wartość przyspieszenia, jakie ma ciało jest ilorazem działającej siły przez masę ciała. Przekształć tę zależność, aby wyznaczyć wartość siły działającej na kulkę.

Poprzednie
Następne

Fizyka - wybrane pytania

Ćwiczenie Ćwiczenie A., strona 41, To jest fizyka. Klasa 7. Podręcznik - rozwiązania i odpowiedzi
Ćwiczenie 2., strona 48, Fizyka z plusem. Klasa 8. Podręcznik - rozwiązania i odpowiedzi
Ćwiczenie 3., strona 6, Fizyka. Klasa 8. Zeszyt ćwiczeń - rozwiązania i odpowiedzi
Zadanie 22.10, strona 120, Fizyka. Klasa 4. Zakres rozszerzony. Zbiór zadań - rozwiązania i odpowiedzi
Zadanie 7.53., strona 103, Fizyka. Klasa 7-8. Zbiór zadań - rozwiązania i odpowiedzi
Zadanie 6.1.11., strona 224, Zrozumieć fizykę. Klasa 1. Zakres rozszerzony. Zbiór zadań - rozwiązania i odpowiedzi
Zadanie 4, strona 126, Fizyka. Klasa 7. Podręcznik - rozwiązania i odpowiedzi
Zadanie 1, strona 57, Fizyka. Klasa 7. Podręcznik – rozwiązania i odpowiedzi
Zadanie 7.56., strona 104, Fizyka. Klasa 7-8. Zbiór zadań - rozwiązania i odpowiedzi
Zadanie 6.78., strona 95, Fizyka. Klasa 7-8. Zbiór zadań - rozwiązania i odpowiedzi
REKLAMA
Skul
Zadania z tego działu
Dział 5. Siły w przyrodzie
35

Zadania przypisane do działu

Zadanie 5.1.

35

Zadanie 5.2.

35

Zadanie 5.3.

35

Zadanie 5.4.

35

Zadanie 5.5.

35

Podpunkt a)

35

Zadanie 5.6.

35

Zadanie 5.7.

36

Zadanie 5.8.

36

Zadanie 5.9.

36

Zadanie 5.10.

36

Zadanie 5.11.

36

Zadanie 5.12.

37

Zadanie 5.13.

37

Zadanie 5.14.

37

Zadanie 5.15.

37

Podpunkt a)

37

Podpunkt b)

37

Zadanie 5.16.

37

Zadanie 5.17.

37

Zadanie 5.18.

38

Zadanie 5.19.

38

Podpunkt a)

38

Podpunkt b)

38

Podpunkt c)

38

Zadanie 5.20.

38

Zadanie 5.21.

38

Podpunkt a)

38

Podpunkt b)

38

Zadanie 5.22.

38

Zadanie 5.23.

39

Podpunkt a)

39

Podpunkt b)

39

Podpunkt c)

39

Podpunkt d)

39

Zadanie 5.24.

39

Zadanie 5.25.

39

Zadanie 5.26.

39

Podpunkt a)

39

Podpunkt b)

39

Zadanie 5.27.

39

Zadanie 5.28.

39

Zadanie 5.29.

40

Zadanie 5.30.

40

Zadanie 5.31.

40

Zadanie 5.32.

40

Zadanie 5.33.

40

Zadanie 5.34.

40

Zadanie 5.35.

40

Zadanie 5.36.

40

Zadanie 5.37.

40

Zadanie 5.38.

41

Zadanie 5.39.

41

Zadanie 5.40.

41

Zadanie 5.41.

41

Zadanie 5.42.

41

Zadanie 5.43.

41

Zadanie 5.44.

41

Podpunkt a)

41

Podpunkt b)

41

Zadanie 5.45.

45

Zadanie 5.46.

41

Zadanie 5.47.

42

Zadanie 5.48.

42

Zadanie 5.49.

42

Zadanie 5.50.

42

Zadanie 5.51.

42

Zadanie 5.52.

42

Zadanie 5.53.

43

Podpunkt a)

43

Podpunkt b)

43

Podpunkt c)

43

Podpunkt d)

43

Zadanie 5.54.

43

Zadanie 5.55.

43

Zadanie 5.56.

43

Zadanie 5.57.

44

Zadanie 5.58.

44

Podpunkt a)

44

Podpunkt b)

44
Pełny spis treści
Skul
Artboard 1
Skul.pl
  • Napisz do nas
  • FAQ
  • Mapa Serwisu
  • Google Play
  • App Store

Korzystanie z portalu oznacza akceptację Regulaminu.
Polityka prywatności. Ustawienia preferencji. Copyright: INTERIA.PL 1999-2023 Wszystkie prawa zastrzeżone.