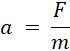
Zgodnie z drugą zasadą dynamiki przyspieszenie ciała jest stosunkiem działającej na nie siły przez masę tego ciała.
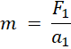
Znasz przyspieszenie i działającą siłę, w pierwszej sytuacji, przekształć zależność wynikającą z drugiej zasady dynamiki, tak aby wyznaczyć masę tego ciała.
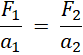
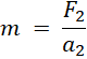
Masa ciała w obu przypadkach pozostaje bez zmian, dlatego:
Możesz więc przyrównać do siebie obie równości:
Niewiadomą jest wartość przyspieszenia uzyskanego w drugiej sytuacji, wyznacz ją z uzyskanej proporcji: