Skul.pl
  • Opracowania zadań z podręczników
  • Świat fizyki. Klasa 7. Zbiór zadań - rozwiązania i odpowiedzi
  • Zadanie 5.54.

Świat fizyki. Klasa 7. Zbiór zadań - rozwiązania i odpowiedzi

Zbiór zadań, Wydawnictwo: WSiP
Poprzednie

Zadanie 5.54. - strona 43

Następne

Zadanie

Oblicz masę poruszającego się ciała.

Rozwiązanie

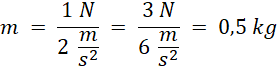
To ciało ma masę 0,5 kg.

Skul

Wyjaśnienie

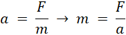
Z drugiej zasady dynamiki wiesz, że wartość przyspieszenia, jakie ma ciało jest ilorazem działającej siły przez masę ciała. Przekształć tę zależność, aby wyznaczyć masę ciała.

Poprzednie
Następne

Fizyka - wybrane pytania

Ćwiczenie 7.40., strona 105, Fizyka. Klasa 1-3. Zakres podstawowy. Zbiór zadań - rozwiązania i odpowiedzi
Zadanie 5.5.1., strona 195, Zrozumieć fizykę. Klasa 1. Zakres rozszerzony. Zbiór zadań - rozwiązania i odpowiedzi
Zadanie 1, strona 59, To jest fizyka. Klasa 8. Zeszyt ćwiczeń - rozwiązania i odpowiedzi
Zadanie 6., strona 205, Spotkania z fizyką. Klasa 8. Podręcznik - rozwiązania i odpowiedzi
Zadanie 1., strona 162, Świat fizyki. Klasa 7. Podręcznik - rozwiązania i odpowiedzi
Zadanie 67.8., strona 263, Zbiór zadań z fizyki dla szkoły podstawowej. Klasa 7-8 - rozwiązania i odpowiedzi
Zadanie 1, strona 101, Fizyka. Klasy 1-3. Zakres podstawowy. Zbiór zadań - rozwiązania i odpowiedzi
Ćwiczenie 10.48., strona 149, Fizyka. Klasa 1-3. Zakres podstawowy. Zbiór zadań - rozwiązania i odpowiedzi
Zadanie 4, strona 220, Zrozumieć fizykę. Klasa 4. Poziom rozszerzony. Podręcznik - rozwiązania i odpowiedzi
Zadanie sprawdzające 1., strona 64, Świat fizyki. Klasa 8. Podręcznik - rozwiązania i odpowiedzi
REKLAMA
Skul
Zadania z tego działu
Dział 5. Siły w przyrodzie
35

Zadania przypisane do działu

Zadanie 5.1.

35

Zadanie 5.2.

35

Zadanie 5.3.

35

Zadanie 5.4.

35

Zadanie 5.5.

35

Podpunkt a)

35

Zadanie 5.6.

35

Zadanie 5.7.

36

Zadanie 5.8.

36

Zadanie 5.9.

36

Zadanie 5.10.

36

Zadanie 5.11.

36

Zadanie 5.12.

37

Zadanie 5.13.

37

Zadanie 5.14.

37

Zadanie 5.15.

37

Podpunkt a)

37

Podpunkt b)

37

Zadanie 5.16.

37

Zadanie 5.17.

37

Zadanie 5.18.

38

Zadanie 5.19.

38

Podpunkt a)

38

Podpunkt b)

38

Podpunkt c)

38

Zadanie 5.20.

38

Zadanie 5.21.

38

Podpunkt a)

38

Podpunkt b)

38

Zadanie 5.22.

38

Zadanie 5.23.

39

Podpunkt a)

39

Podpunkt b)

39

Podpunkt c)

39

Podpunkt d)

39

Zadanie 5.24.

39

Zadanie 5.25.

39

Zadanie 5.26.

39

Podpunkt a)

39

Podpunkt b)

39

Zadanie 5.27.

39

Zadanie 5.28.

39

Zadanie 5.29.

40

Zadanie 5.30.

40

Zadanie 5.31.

40

Zadanie 5.32.

40

Zadanie 5.33.

40

Zadanie 5.34.

40

Zadanie 5.35.

40

Zadanie 5.36.

40

Zadanie 5.37.

40

Zadanie 5.38.

41

Zadanie 5.39.

41

Zadanie 5.40.

41

Zadanie 5.41.

41

Zadanie 5.42.

41

Zadanie 5.43.

41

Zadanie 5.44.

41

Podpunkt a)

41

Podpunkt b)

41

Zadanie 5.45.

45

Zadanie 5.46.

41

Zadanie 5.47.

42

Zadanie 5.48.

42

Zadanie 5.49.

42

Zadanie 5.50.

42

Zadanie 5.51.

42

Zadanie 5.52.

42

Zadanie 5.53.

43

Podpunkt a)

43

Podpunkt b)

43

Podpunkt c)

43

Podpunkt d)

43

Zadanie 5.54.

43

Zadanie 5.55.

43

Zadanie 5.56.

43

Zadanie 5.57.

44

Zadanie 5.58.

44

Podpunkt a)

44

Podpunkt b)

44
Pełny spis treści
Skul
Artboard 1
Skul.pl
  • Napisz do nas
  • FAQ
  • Mapa Serwisu
  • Google Play
  • App Store

Korzystanie z portalu oznacza akceptację Regulaminu.
Polityka prywatności. Ustawienia preferencji. Copyright: INTERIA.PL 1999-2023 Wszystkie prawa zastrzeżone.